质子内部作用力图谱绘成,有望加深对物质基本性质的了解

2025-02-25 01:01:00 来源: 点击数:

科技日报记者 刘霞

fe95a11c90ef0da5433cbf78184d313.jpg

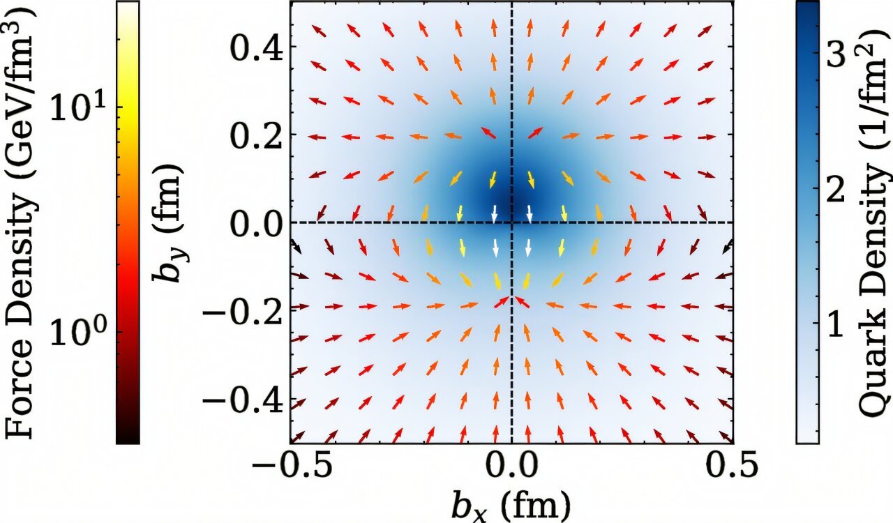
包括澳大利亚阿德莱德大学科学家在内的国际团队,成功绘制出了质子内部作用力详细图谱。最新研究不仅有助科学家加深对物质基本性质的了解,也有助质子在更多尖端技术领域大放异彩。相关论文发表于最新一期《物理评论快报》杂志。

研究团队采用一种强大的计算技术——晶格量子色动力学,来绘制质子内部作用力图谱。这一技术将空间和时间分解成一个个精细的网格,从而能够模拟将夸克结合成质子和中子的强力在质子内部不同区域的变化情况。

这一图谱可能是迄今为止最精细的自然力场图。图谱显示,即使在质子内部这么微小的空间,强力的强度也高达50万牛顿。这相当于将10头大象压缩在一个远小于原子核的空间内。

研究团队表示,这些作用力图谱有助科学家更深入理解质子内部复杂的动力学,并加深对自然界最基本力和粒子的认知。最新进展还能帮助科学家揭示质子在各种高能碰撞中的“表现”。这些高能碰撞包括在大型强子对撞机上以及在探索物质基本结构的实验中进行的碰撞。

随着科学家不断深挖并陆续揭示质子的内部结构,所获得的信息有望推动质子在尖端技术领域,尤其是下一代科学和医学领域的应用,其中一个备受关注的领域是质子疗法。在这一疗法中,高能质子可精确靶向肿瘤,同时尽量减少对周围组织的损伤。此外,通过首次使质子内部的不可见力变得可见,最新研究弥合了理论和实验之间的差距,有助加快基础研究步伐。

总编辑圈点

科研团队用"时空网格化"的计算技术,首次绘制出质子内部作用力图谱。微小方寸内,将质子内部夸克束缚在一起的力异常巨大——相当于把10头大象的重量压缩在一个比原子核还小的空间里。该研究让质子内部的强力“显形”,帮助人类更深入理解物质基本构成。对质子的理解升级,也能帮我们提升质子治疗技术的精准度,助力大型强子对撞机等装置的实验设计。一系列新的技术和思路,帮助人类在无穷大和无穷小中找寻基础问题的答案。

责任编辑:左常睿

抱歉,您使用的浏览器版本过低或开启了浏览器兼容模式,这会影响您正常浏览本网页

您可以进行以下操作:

1.将浏览器切换回极速模式

2.点击下面图标升级或更换您的浏览器

3.暂不升级,继续浏览

继续浏览